Creative Commons Reconocimiento-NoComercial 4.0 Internacional

Imagen de la licencia Creative Commons Reconocimiento-NoComercial 4.0 Internacional. Attribution-NonCommercial 4.0 (BY-NC)

Gestión y Análisis de Políticas Públicas, número 39, noviembre de 2025

Sección: ARTÍCULOS

Recibido: 08-07-2025

Modificado: 31-10-2025

Aceptado: 31-10-2025

Publicación anticipada: 12-11-2025

Publicado: 27-11-2025

ISSN: 1989-8991 – DOI: https://doi.org/10.24965/gapp.11560

Páginas: 78-88

Referencia: Maurer, S., Sánchez-Vidal, M., Taberner, P. A., Tucat, P. (2025). Targeted activation: Evaluating a public-private labour market policy in Barcelona. Gestión y Análisis de Políticas Públicas, 39, 78-88. https://doi.org/10.24965/gapp.11560

Targeted activation: Evaluating a public-private labour market policy in Barcelona

Activación focalizada: evaluación de una política público-privada de empleo en Barcelona

Maurer, Stephan

University of Edinburgh. Centre for Economic Performance – CEP-LSE (Reino UnidoUnited Kingdom)

ORCID: https://orcid.org/0000-0003-2446-8575

smaurer@exseed.ed.ac.uk

NOTA BIOGRÁFICA

Stephan is a Lecturer (Assistant Professor) at the University of Edinburgh. He holds a PhD in Economics from the London School of Economics and a Master in Economics from the Barcelona Graduate School of Economics. He is also an affiliate at the UPF Barcelona School of Management, at the Centre for Economic Performance (LSE), and at the Research Cluster “Politics of Inequality” at the University of Konstanz. His areas of expertise are Labour Economics, Economic History, Economic Geography, and International Trade.

Sánchez-Vidal, María

Knowledge Sharing Network – KSNET (EspañaSpain)

maria.sanchez@ksnet.eu

NOTA BIOGRÁFICA

Maria holds a PhD in Economics from the University of Barcelona. She worked as a researcher at the Centre for Economic Performance of the London School of Economics and as a lecturer at the University of Konstanz (Germany). She is a specialist in public policy evaluation and has led projects for public, private and third sector institutions, especially in the fields of labour economics, social protection and the fight against poverty and urban economics.

Taberner, Pere A.

Knowledge Sharing Network – KSNET, University of Barcelona and Institut d’Economia de Barcelona – IEB (EspañaSpain)

ORCID: https://orcid.org/0000-0003-2203-3703

pere.taberner@ksnet.eu

NOTA BIOGRÁFICA

Pere holds a Master in Economics from the University of Barcelona and is currently a PhD student at the Barcelona School of Economics of UB and in the Public Policy programme of the IEB. Researcher in economics and Research Coordinator at KSNET, he has experience in database construction, data analysis and econometric modelling for policy evaluation in labour market, education and poverty. His areas of interest include economics of education, gender, labour market and data science.

Tucat, Pablo

Knowledge Sharing Network – KSNET (EspañaSpain)

pablo.tucat@ksnet.eu

NOTA BIOGRÁFICA

Pablo is the Director of Strategy at KSNET. He holds a Master’s in Public and Social Policy from Universitat Pompeu Fabra (Spain) and a Master’s in Applied Economics from Universidad Torcuato Di Tella (Argentina). He has worked as lecturer (Associate Professor) at the Universitat Pompeu Fabra, as well as an economic advisor to the Argentine government and other public institutions on infrastructure and development policies. He is specialist in public policy evaluation, with particular interest in housing, infrastructure, and regional development.

ABSTRACT

Objectives: This article evaluates the impact of a local active labour market policy (POIL) implemented in the province of Barcelona, aimed at improving employment outcomes through public-private partnerships providing personalised support and placement in local jobs. Methodology: We combine a matching strategy with a difference-in-differences estimation using administrative data to estimate the causal effect of programme participation. Results: Participation in the programme increases the probability of finding employment by 3.4 percentage points. The effects are stronger among older workers, native individuals, and those with shorter prior unemployment spells. Conclusions: The findings highlight the potential of locally targeted active labour market policies to improve employment outcomes, particularly when interventions are tailored to sectoral needs and delivered through personalised support mechanisms.

KEYWORDS

Public-private partnership; active labour market policies; unemployment; training; matching; difference-in-differences.

RESUMEN

Objetivos: este artículo evalúa el impacto de una política activa de empleo local (POIL) implementada en la provincia de Barcelona a través de colaboraciones público-privadas y orientada a mejorar los resultados laborales de las personas participantes mediante apoyo personalizado e inserción en sectores industriales. Metodología: combinamos una estrategia de emparejamiento con una estimación de diferencia en diferencias utilizando datos administrativos, con el fin de estimar el efecto causal de la participación en el programa. Resultados: la participación en el programa incrementa la probabilidad de encontrar empleo en 3,4 puntos porcentuales. Los efectos son más intensos entre trabajadores de mayor edad, personas de nacionalidad española y quienes tienen trayectorias de desempleo más cortas. Conclusiones: los resultados ponen de manifiesto el potencial de las políticas activas de empleo de ámbito local para mejorar los resultados laborales, especialmente cuando las intervenciones se adaptan a las necesidades sectoriales y se ofrecen mediante mecanismos de apoyo personalizados.

PALABRAS CLAVE

Colaboración público-privada; políticas activas de empleo; desempleo; formación; emparejamiento; diferencia en diferencias.

SUMARIO

1. INTRODUCTION. 2. METHODOLOGY. 2.1. INSTITUTIONAL BACKGROUND. 2.2. DATA AND SAMPLE. 2.3. IDENTIFICATION STRATEGY AND SPECIFICATION. 3. RESULTS. 4. DISCUSSION. 5. CONCLUSION. FUNDING. ACKNOWLEDGMENTS. REFERENCES.

1. INTRODUCTION

In spite of recent growth, the Catalan economy still experiences high unemployment rates compared to pre-crisis levels. In 2021, for example, the unemployment rate in Catalonia was still 11.6 %1. In this context, policies that promote the integration of the unemployed into the labour market play a key role. Organisations such as the OECD have advocated for the implementation of public job training and active labour market programmes as measures to combat cyclical and structural unemployment (FroyFroy, F., Giguere, S. & Hofer, A. (2009). Designing Local Skills Strategies. OECD Publications. https://doi.org/10.1787/9789264066649-en et al., 2009Adán González, R., Taberner, P. A., Plata, D., Monserrat, C., Sánchez Vidal, M. & Pi Ferrer, L. (2025). Treball i Formació (EELL, ESAL i ACOL) 2020-2022 [colección SOC-AVALUA n.º 51]. Generalitat de Catalunya. https://daleph.com/wp-content/uploads/2024/05/Informe_-Treball-i-formacio-CAT.pdf). These initiatives are aligned with the broader European “activation paradigm”, through which welfare policies have increasingly shifted from guaranteeing protection to promoting individual responsibility and employability (Moreno & Serrano Pascual, 2007Moreno, L. & Serrano Pascual, A. (2007). Europeización del bienestar y activación. Política y Sociedad, 44(2), 31-44. https://revistas.ucm.es/index.php/POSO/article/view/POSO0707230031A; Serrano Pascual & Crespo Suárez, 2007Serrano-Pascual, A. & Crespo Suárez, E. (2007). The government of activation policies by EU institutions. International Journal of Sociology and Social Policy, 27(9-10), 376-386. https://doi.org/10.1108/01443330710822075; Serrano-Pascual & Magnusson, 2007Serrano-Pascual, A. & Magnusson, L. (2007). Reshaping welfare states and activation regimes in Europe. Peter Lang.).

In this context, this study aims at empirically evaluating the effectiveness of the Programa d’Ocupacio a la Indústria Local (“Employment in Local Industry Programme”, henceforth POIL), a programme in the province of Barcelona created in 2015. Through public-private partnerships, this programme subsidises employment activation projects that combine training and work. The main goal is to favour the acquisition of specific skills required by local companies and to promote the recruitment of specific groups.

Our paper first and foremost quantifies the employment effects of POIL. We use programme records from participants in POIL’s first wave (2015-2016) and a random sample of Spanish Social Security data to construct a control group through matching on employment-relevant characteristics. We then apply a difference-in-differences strategy to compare employment trajectories before and after programme participation. The sizable employment effects we find -increases in the probability of being employed by approximately 3.4 percentage points after participation- suggest that the policy was successful in helping the unemployed to find employment. At the same time, our paper also highlights that effects differ strongly along age, nationality, and previous unemployment duration, which is relevant for other government entities that might want to create programmes similar to POIL.

In addition to these policy-relevant findings, our paper contributes to a large literature on the evaluation of active labour market programmes (see for example CardCard, D., Kluve, J. & Weber, A. (2010). Active labour market policy evaluations: a meta-analysis. The Economic Journal, 120(548), 452-477. https://doi.org/10.1111/j.1468-0297.2010.02387.x et al., 2010Card, D., Kluve, J. & Weber, A. (2010). Active labour market policy evaluations: a meta-analysis. The Economic Journal, 120(548), 452-477. https://doi.org/10.1111/j.1468-0297.2010.02387.x; 2018Card, D., Kluve, J. & Weber, A. (2018). What works? A meta analysis of recent active labor market program evaluations. Journal of the European Economic Association, 16(3), 894-931. https://doi.org/10.1093/jeea/jvx028; Kluve, 2010Kluve, J. (2010). The effectiveness of European active labor market programs. Labour Economics, 17(6), 904-918. https://doi.org/10.1016/j.labeco.2010.02.004; de la Rica, 2015De la Rica, S. (2015). Políticas activas de empleo: una panorámica [FEDEA Policy Papers 2015/01]. FEDEA. https://documentos.fedea.net/pubs/fpp/2015/01/FPP2015-01.pdf; Orfao & Malo, 2023Orfao, G., & Malo, M. Á. (2023). Are active labour market policies effective for the older unemployed? A meta-evaluation. Ageing and Society, 43(7), 1617-1637. https://doi.org/10.1017/S0144686X21001288, and Fernández Junquera, 2024Fernández Junquera, Á. (2024). Efectos de la asistencia en la búsqueda de empleo: una revisión sistemática para España. Gestión y Análisis de Políticas Públicas, (35), 7-25. https://doi.org/10.24965/gapp.11259 for recent surveys and meta-analyses). In general, these programmes have small employment effects in the short term, but more sizable ones in the medium and long run (CardCard, D., Kluve, J. & Weber, A. (2010). Active labour market policy evaluations: a meta-analysis. The Economic Journal, 120(548), 452-477. https://doi.org/10.1111/j.1468-0297.2010.02387.x et al., 2010Card, D., Kluve, J. & Weber, A. (2010). Active labour market policy evaluations: a meta-analysis. The Economic Journal, 120(548), 452-477. https://doi.org/10.1111/j.1468-0297.2010.02387.x). The effects differ based on whether the programmes focus on rapid job search or increasing human capital (CardCard, D., Kluve, J. & Weber, A. (2018). What works? A meta analysis of recent active labor market program evaluations. Journal of the European Economic Association, 16(3), 894-931. https://doi.org/10.1093/jeea/jvx028 et al., 2018Card, D., Kluve, J. & Weber, A. (2018). What works? A meta analysis of recent active labor market program evaluations. Journal of the European Economic Association, 16(3), 894-931. https://doi.org/10.1093/jeea/jvx028), but also on whether the training takes place in companies or classrooms (WWG, 2016WWG (2016). Evidence review 1: Employment Training. What Works Centre for Local Economic Growth. https://whatworksgrowth.org/wp-content/uploads/16-06-15_Employment_Training_Update-1.pdf).

Just as impacts vary according to the type of programme, they also differ according to the profile of the participants. Thus, the impact of these programmes tends to be higher for women and the long-term unemployed, and lower for older people or young people. However, there are also differences according to the type of programme: while beneficiaries in situations of vulnerability perform better in programmes aimed at rapid job search, the long-term unemployed benefit more from programmes aimed at improving human capital (CardCard, D., Kluve, J. & Weber, A. (2018). What works? A meta analysis of recent active labor market program evaluations. Journal of the European Economic Association, 16(3), 894-931. https://doi.org/10.1093/jeea/jvx028 et al., 2018Card, D., Kluve, J. & Weber, A. (2018). What works? A meta analysis of recent active labor market program evaluations. Journal of the European Economic Association, 16(3), 894-931. https://doi.org/10.1093/jeea/jvx028).

In the Spanish context, García Pérez and Rebollo Sanz (2009)García Pérez, J. I. & Rebollo Sanz, Y. F. (2009). The use of permanent contracts across Spanish regions: Do regional wage subsidies work? Investigaciones Económicas, 33(1), 97-130. https://www.fundacionsepi.es/investigacion/revistas/paperArchive/Ene2009/v33i1a4.pdf analyse the introduction of regional subsidies for permanent contracts for a period from the mid-1990s to the mid-2000s, finding a low, but positive overall impact. Cueto and Mato (2009Cueto, B. & Mato, F. J. (2009). A nonexperimental evaluation of training programmes: Regional evidence for Spain. Annals of Regional Science, 43(2), 415-433. https://doi.org/10.1007/s00168-008-0214-2)Cueto, B. & Mato, F. J. (2009). A nonexperimental evaluation of training programmes: Regional evidence for Spain. Annals of Regional Science, 43(2), 415-433. https://doi.org/10.1007/s00168-008-0214-2 and Arellano (2010)Arellano, F. A. (2010). Do training programmes get the unemployed back to work? A look at the Spanish experience. Revista de Economia Aplicada, 18(53), 39-65. http://revecap.com/revista/numeros/53/pdf/alfonso.pdf analyse different training programmes, finding generally positive effects, while BlázquezBlázquez, M., Herrarte, A. & Sáez, F. (2019). Training and job search assistance programmes in Spain: The case of long-term unemployed. Journal of Policy Modeling, 41(2), 316-335. https://doi.org/10.1016/j.jpolmod.2019.03.004 et al. (2019)Blázquez, M., Herrarte, A. & Sáez, F. (2019). Training and job search assistance programmes in Spain: The case of long-term unemployed. Journal of Policy Modeling, 41(2), 316-335. https://doi.org/10.1016/j.jpolmod.2019.03.004 show that a programme that combined training and job search support improved the employability of participants.

Finally, this paper contributes to the literature focusing on the governance of labour market policies. Previous studies have analysed how Spain’s multi-level institutional design and the introduction of public–private collaboration have reshaped the governance of active labour market policies (Hernández-Moreno & Ramos Gallarín, 2017Hernández-Moreno, J. J. & Ramos Gallarín, J. A. (2017). La centralización de la gobernanza territorial en las políticas activas del mercado de trabajo en España durante la Gran Recesión (2011-2016). Gestión y Análisis de Políticas Públicas, (18), 5-22. https://doi.org/10.24965/gapp.v0i18.10433; Catalá-Pérez & del Pino, 2018Catalá-Pérez, D. & Del Pino, E. (2018). Reformas de ida y vuelta en la gobernanza horizontal del bienestar: el caso de la colaboración público-privada en la intermediación laboral en la Comunidad Valenciana. Gestión y Análisis de Políticas Públicas, (19), 107-122. https://doi.org/10.24965/gapp.v0i19.10434). In this context, even though there exist several evaluations of local labour market programmes (see, for example, Rebollo-Sanz & García Pérez, 2021Rebollo-Sanz, Y. F. & García Pérez, J. I. (2021). Evaluación de Impacto de Políticas Activas de Empleo para Colectivos de Difícil Inserción Laboral [policy papers 2021/11]. FEDEA. https://documentos.fedea.net/pubs/fpp/2021/11/FPP2021-11.pdf; de la RicaDe la Rica, S., Miller, L. & Úbeda, P. (2018). Evaluación del programa Lanzaderas de empleo y emprendimiento solidario-anezka [informe 2018/2]. ISEAK. https://iseak.eu/publicacion/evaluacion-del-programa-lanzaderas-de-empleo-y-emprendimiento-solidario%E2%80%90anezka et al., 2018De la Rica, S., Miller, L. & Úbeda, P. (2018). Evaluación del programa Lanzaderas de empleo y emprendimiento solidario-anezka [informe 2018/2]. ISEAK. https://iseak.eu/publicacion/evaluacion-del-programa-lanzaderas-de-empleo-y-emprendimiento-solidario%E2%80%90anezka; AIReF, 2021AIReF (2021). Políticas activas de empleo en Castilla y León. Autoridad Independiente de Responsabilidad Fiscal. https://www.airef.es/es/estudios/estudio-politicas-activas-empleo-castilla-y-leon/; 2023AIReF (2023). Políticas activas de empleo en Extremadura. Autoridad Independiente de Responsabilidad Fiscal. https://www.airef.es/es/estudios/comunidades-autonomas/estudio-politicas-activas-de-empleo-en-extremadura/; RamosRamos Lobo, R., Suriñach Caralt, J. & Artís Ortuño, M. (2009). La efectividad de las políticas activas de mercado de trabajo para luchar contra el paro. La experiencia de Cataluña [working papers IR09/19]. Universitat de Barcelona. Institut de Recerca en Economia Aplicada Regional i Pública. https://hdl.handle.net/2445/61477 et al., 2009Ramos Lobo, R., Suriñach Caralt, J. & Artís Ortuño, M. (2009). La efectividad de las políticas activas de mercado de trabajo para luchar contra el paro. La experiencia de Cataluña [working papers IR09/19]. Universitat de Barcelona. Institut de Recerca en Economia Aplicada Regional i Pública. https://hdl.handle.net/2445/61477; MorenoMoreno, R., Ramos, R. & Suriñach, J. (2021). Programa Ubicat 2017-2019 (SOC-Avalua). Generalitat de Catalunya. https://serveiocupacio.gencat.cat/web/.content/01_SOC/09_Transparencia-i-bon-govern/Avaluacio-i-estudis/Avaluacio_UBICAT.pdf et al., 2021Moreno, R., Ramos, R. & Suriñach, J. (2021). Programa Ubicat 2017-2019 (SOC-Avalua). Generalitat de Catalunya. https://serveiocupacio.gencat.cat/web/.content/01_SOC/09_Transparencia-i-bon-govern/Avaluacio-i-estudis/Avaluacio_UBICAT.pdf; AdánAdán González, R., Taberner, P. A., Plata, D., Monserrat, C., Sánchez Vidal, M. & Pi Ferrer, L. (2025). Treball i Formació (EELL, ESAL i ACOL) 2020-2022 [colección SOC-AVALUA n.º 51]. Generalitat de Catalunya. https://daleph.com/wp-content/uploads/2024/05/Informe_-Treball-i-formacio-CAT.pdf et al., 2025Adán González, R., Taberner, P. A., Plata, D., Monserrat, C., Sánchez Vidal, M. & Pi Ferrer, L. (2025). Treball i Formació (EELL, ESAL i ACOL) 2020-2022 [colección SOC-AVALUA n.º 51]. Generalitat de Catalunya. https://daleph.com/wp-content/uploads/2024/05/Informe_-Treball-i-formacio-CAT.pdf) our study provides new empirical evidence on the effectiveness of such a local activation programme that is implemented through a shared governance model between a supra-local government and multiple local administrations, in partnership with private actors. The cases of public-private collaboration analysed in previous studies are often centred on the outsourcing of intermediation services to temporary employment agencies. Unlike these, the programme under evaluation here builds on a cooperative framework in which local firms and training providers actively participate in the design and delivery of training activities and in the potential recruitment of participants within their own companies.

2. METHODOLOGY

2.1. Institutional background

POIL was introduced by the Barcelona Provincial Council in 20152. The main objective of this initiative is to encourage projects that promote the competitiveness of local industries through a public-private network based on cooperation between different agents operating in the same territory. The programme finances local projects that favour the hiring of groups with special needs (long-term unemployed people, people over 45, young people and women) in sectors of industrial activity that are strongly consolidated in the territory and have growth prospects.

POIL participants follow personalised employability improvement pathways that, combining training and work, focus on the acquisition of the specific skills required by companies in the sector and territory. In this way, POIL goes a step beyond the typical design of a common itinerary for all participants, and personalises it to the needs of the territory, companies and participants. Different agents of the local economy, such as local authorities and private sector organisations, are involved in the whole process of each of the projects, from the design of the itinerary to the training and internships in companies.

The programme works as follows: local authorities present their proposed training and employment project which should involve different agents of the territory (local public entities, private entities and local companies) to the provincial government. If the minimum requirements are met, the local entity receives a grant to be able to carry out its project in the territory for the agreed period. This procedure for awarding subsidies is carried out by means of competitive tendering. The Barcelona Provincial Council, specifically the Labour Market Service, draws up the bases for establishing the minimum requirements that applications must meet.

To date, three editions have been completed, 2015-2016, 2016-2017, and 2018-2020 (biannual). Throughout these three calls, 16 projects have participated, affecting seven different sectors of industrial activity: wine; metallurgy; food; textiles; chemicals, pharmaceuticals, plastics and related industries; logistics; and “new industry” (graphic arts and business services). We analyse the first call which was launched on 1 January 2015 and ended in full on 28 February 2017. Initially, the end date was set to be 31 August 2016, but some projects requested an extension, which was granted.

The Provincial Council has monitored the individuals, companies and local authorities involved in each of the projects, collecting a large amount of information on their participation. After the end of the first edition, information was also collected from the participants until the following year. In the case of projects that requested an extension, information is only available for the following six months.

2.2. Data and sample

Our empirical analysis draws on data from the first call of the POIL programme, which took place in 2015/16. We use two main data sources. First, we draw on participant data that was collected during their participation in POIL. This dataset covers all 1,372 participants. It includes socio-demographic information on participants prior to their participation, such as their date of birth, gender, nationality, level of studies, and employment situation. It also contains information on participants’ joining and leaving the programme, their self-reported satisfaction with the programme, and their different job placements, both during the project and after its completion. Participants were further tracked within the project in terms of their training or internship hours.

However, the POIL dataset only contains data on programme participants. To create a control group of workers similar to participants, we draw on the 2017 Continuous Sample of Working Lives (MCVL)3. The MCVL is a set of anonymised individual microdata extracted randomly from the Spanish Social Security records. This information is complemented with tax data from the Spanish Tax Agency and the Padrón Continuo4 provided by the National Statistics Institute (INE in Spanish). The individuals in the MCVL are randomly selected from the entire population in the Social Security database, either because they were affiliated or because they were pensioners for at least one day during the calendar year prior to the reference year. The main goal of the sample is to represent 4% of the target population at the Spanish level, that is, around 1,200,000 people in the case of recent years.

The MCVL is composed of six databases linked to each other by the anonymised code of the individual, the anonymised code of the paying institution and/or the code of the contribution account. These databases contain the individual’s socio-economic information, affiliation history, contribution bases, pensions, cohabitants, and tax data. The first five databases contain information on the entire history of each individual, i.e. from their first affiliation up to the reference year, in this case 2017. In contrast, the tax data only includes information for the reference year. For this study, we only use the databases of the individual’s socio-economic information and affiliation history. Personal characteristics available from the MCVL include date and place of birth, gender, nationality, place of residence, and education level. It should be noted that the data identify the affiliate’s municipality of residence if the city has more than 40,000 inhabitants. For affiliates residing in smaller municipalities, only the province is identified.

We restrict the sample to people from the province of Barcelona, the area of action of the programme evaluated. After this sample restriction, we homogenize several variables to make them equivalent to the definitions employed by the POIL database and thus enable comparisons between the different individuals. Finally, it is important to note that the periodicity of the two databases is different. The information from the MCVL contains the exact start and end dates of each employment record, while that from the Diputació de Barcelona is divided into different lengths. Specifically, the provincial government collected data of the participants at 5 different moments over the course of the programme.

2.3. Identification strategy and Specification

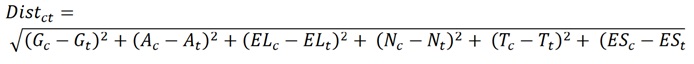
We use a combination of matching and difference-in-differences methods to empirically estimate the effect of participation in POIL on the probability of being employed. The design of the POIL programme does not offer a natural control group (e.g. people that applied to participate but did not receive a slot in the programme). We therefore resort to a matching strategy. For every POIL participant, we look for a match in the MCVL data, where the match is defined over 6 variables: gender (G, dummy for being female), age (A, dummies for 15-25, 25-35, …, 55-67), education level (EL, dummies for low, medium and high), nationality (N, a dummy for foreign), territory of residence (T)5 and employment status before entering the programme (ES, a dummy for being employed). Thus, for every participant, we look for a non-participant who is similar to the participant along these six variables. We parametrize the similarity between potential matches as the Euclidean distance over all variables:

[01]

[01]

where Distc represents the distance of each potential control individual from the treated individual. The subscripts c and t represent control and treatment individuals, respectively. After calculating the distance, we assign to each participant their closest match according to this distance metric.

Table 1 reports the post-matching means for each covariate by treatment status. The differences are either exactly zero (in the case of categorical variables with exact matches) or extremely small, such as a 0.6-year age gap. These results confirm that the matching procedure yielded highly balanced samples.

Table 1. Covariate balance after matching: treated and control groups

 

Control

Treatment

Difference

p-value

Gender (women)

37,97 %

37,97 %

0,00

1,00

Age

41,38

40,77

0,61

0,13

Nationality (foreign)

9,26 %

9,69 %

–0,44

0,70

Working before POIL

2,92 %

1,90 %

1,02

0,08

Educational level

 

 

 

 

Low

6,49 %

6,49 %

0,00

1,00

Medium

61,15 %

61,15 %

0,00

1,00

High

32,36 %

32,36 %

0,00

1,00

Territory

 

 

 

 

Province of Barcelona

100,00 %

100,00 %

0,00

1,00

Another province

0,00 %

0,00 %

0,00

1,00

Source: Authors’ calculations based on POIL and MCVL data. For the binary indicators gender, nationality, and labour status, the reference category is given in brackets. Age is expressed in years and treated as a continuous variable in this table.

The total sample consists of 1,372 participants. The number of control individuals is the same since we performed a 1 to 1 matching procedure. For POIL participants (our treated group), we examine the evolution of employment outcomes before and after the programme, and we then compare this to how the same variables evolved in a control group of non-participants. Our econometric specification is as follows:

Prob_employedijt = αj + γTij + β + (T * Post)ijt + θt + ut

where Prob_employedijt is a dummy for whether individual i (treated or control), of pair j at time t was employed. The variable Tij refers to the treatment and takes value 1 for all treated individuals and 0 for controls. The variable Postt refers to the post-project time. This variable takes value 1 for time periods after the treatment individual’s participation in the itinerary. The multiplication of both variables gives us the differential effect of treated individuals with respect to the control group on the probability of finding a job (or being in work) after the end of the pathway. Therefore, β is the coefficient of interest. In addition, we also control for match fixed effects (αj), and time fixed effects (θt). Finally, ut represents the residual of the regression, clustered at the match level.

We estimate the average treatment effect on the treated (ATT) of the programme on the probability of being employed using a unified specification that captures variation across four post-treatment periods. These intervals correspond to 1-3 months, 3-6 months, 6-9 months, and 9-12 months following completion of the programme. The model includes a single pre-programme observation for each participant and constructs separate indicators for each non-overlapping post-treatment interval. This structure ensures that an individual’s outcome is only used in one post-treatment period and avoids overlap across intervals. Not all participants are observed in every post-treatment window due to variation in individual programme completion dates and the timing of follow-up data collection.

The key assumption for our methodology to produce an estimate for the causal effect of POIL is that treatment and control individuals would have evolved in the same way over time, if none of them had been treated (“common trends assumption”, see Angrist & Pischke, 2009). While the identifying assumption is fundamentally untestable, a common strategy to at least assess its viability is to visually or statistically inspect the evolution of treatment and control group before the treatment for common trends. Unfortunately, this is not possible in our setting, since we observe only a single pre-treatment period.

Violations of the common trends assumption could occur if treated and control individuals had very different characteristics, and if these characteristics correlated with the evolution of employment chances over time. We try to rule this out by way of our matching strategy, comparing each treated individual only to another individual that is similar in terms of gender, education, age, residence, nationality, and pre-programme employment status. The balancing results in table 1 are heartening in this respect, but of course they only provide reassurance for the limited number of observable variables used in the matching procedure. It is conceivable that POIL participants may be positively selected on unobservable motivation or job search intensity, leading to upward-biased estimates.

3. RESULTS

Table 2 presents the estimated effect of POIL participation on the probability of being employed during the year following programme completion. The analysis reports both the ATT across all post-treatment periods and a set of time specific estimates capturing dynamic effects over time. On average, programme participation increases employment probability by 3.4 percentage points. This effect is marginally significant at the 10 percent level but masks notable variation across time.

In the first six months following programme completion, the estimated effects are modest –1.3 percentage points between 1 and 3 months, and just 0.3 percentage points between 3 and 6 months– and not statistically significant. From the third post-treatment period onward, the effects become both economically and statistically significant. Employment probability increases by 7.7 percentage points between 6 and 9 months, and by 11.1 percentage points between 9 and 12 months after the completion. Both estimates are significant at the 1 percent level, indicating substantial medium-run gains.

Table 2. Average and dynamic treatment effects of the POIL participation on employment probability

(1)

(2)

(3)

(4)

(5)

Average

Event Study

All post periods

Post 1

Post 2

Post 3

Post 4

ATT

0.034*

0.013

0.003

0.077***

0.111***

(0.020)

(0.020)

(0.020)

(0.024)

(0.035)

Observations

12,112

12,112

R-squared

0.368

0.369

Notes: ATT shows the treatment effect across post-treatment periods. “All post periods” refers to overall treatment effect across all post-treatment periods, “Post 1” to “Post 4” refer to 1-3, 3-6, 6-9, and 9-12 months after programme completion, respectively. All regressions include match and time fixed effects. Standard errors clustered at matched pair level. *p<0.1, **p<0.05, ***p<0.01.

Source: POIL and MCVL data.

While the results reported above reflect average effects estimated for all individuals, the impact of POIL participation is likely to vary across personal and socio-economic characteristics. To explore this, we next examine heterogeneity in the treatment effect by gender, nationality, age, educational attainment, duration of prior unemployment, and the type and intensity of training received. These subgroup effects are estimated through interactions with the average post-treatment effect.

Table 3 presents the results of this analysis. In each column, the coefficient on the post-treatment indicator reflects the ATT for the reference group, while interaction terms capture differential effects for the corresponding subgroup.

For gender, the estimated effect for male participants —the reference category— is 5.2 percentage points and statistically significant at the 5 percent level. The interaction term for female participants is negative but not significant, indicating a lower impact. However, we cannot rule out that the effects are the same for both genders.

Table 3. Heterogeneous treatment effects

(1)

(2)

(3)

(4)

(5)

(6)

(7)

(8)

Main effect

0.052**

–0.039

–0.295***

0.026

0.076***

0.024

0.026

0.024

(0.023)

(0.045)

(0.060)

(0.046)

(0.024)

(0.024)

(0.021)

(0.021)

Women

–0.047

(0.029)

Spanish

0.080*

(0.045)

Age (continuous)

0.008***

(0.001)

Medium educ. level

0.004

(0.048)

High educ. level

0.016

(0.050)

Long-term unemp.

–0.066**

(0.028)

Classroom training

0.021

(0.029)

In-company training

0.043

(0.037)

Both trainings

0.063

(0.041)

Observations

12,112

12,112

12,112

12,112

11,671

12,112

12,112

12,112

R-squared

0.368

0.368

0.375

0.368

0.346

0.368

0.368

0.368

Notes: Each columns show an independent estimation. Coefficients shown are those interacted with Treatment and Post variables. All models include matched-pair and time fixed effects. Standard errors clustered at the matched-pair level. ***, **, and * denote significance at the 1 %, 5 %, and 10 % levels, respectively.

Source: Authors’ calculations based on POIL and MCVL data.

Differences by nationality appear more pronounced. While the effect for non-Spanish participants is negative and statistically insignificant, the interaction term for Spanish nationals is positive and significant at the 10 percent level. This suggests that only Spanish participants experience positive effects.

Regarding age, the baseline estimate for younger individuals is negative, but the interaction term shows that each additional year of age is associated with a statistically significant increase of 0.8 percentage points in the probability of employment. This points to a positive age gradient in programme effectiveness.

Pre-programme unemployment duration also reveals substantial heterogeneity. Participants unemployed for less than one year experience a significant ATT of 7.6 percentage points, whereas the effect is 6.6 percentage points lower for the long-term unemployed. This difference is statistically significant at the 5 percent level, indicating reduced effectiveness for individuals with more prolonged labour market detachment.

No significant heterogeneity is observed by educational attainment or training modality. Although point estimates are marginally higher for participants with medium or high education, the differences relative to the low-education group are small and statistically insignificant. Similarly, while estimates are consistently positive across classroom, in-company, and combined training groups, none of the interaction effects reach conventional levels of statistical significance. The largest effect is observed among those who received both types of training, but the confidence intervals are too wide to support firm conclusions.

4. DISCUSSION

Overall, our results suggest that POIL participation does not generate immediate labour market benefits but yields sizeable improvements in employment probabilities over the medium term. This timing aligns with prior findings that training-intensive ALMP tend to show delayed impacts rather than immediate returns (CardCard, D., Kluve, J. & Weber, A. (2010). Active labour market policy evaluations: a meta-analysis. The Economic Journal, 120(548), 452-477. https://doi.org/10.1111/j.1468-0297.2010.02387.x et al., 2010Card, D., Kluve, J. & Weber, A. (2010). Active labour market policy evaluations: a meta-analysis. The Economic Journal, 120(548), 452-477. https://doi.org/10.1111/j.1468-0297.2010.02387.x; 2018Card, D., Kluve, J. & Weber, A. (2018). What works? A meta analysis of recent active labor market program evaluations. Journal of the European Economic Association, 16(3), 894-931. https://doi.org/10.1093/jeea/jvx028; Fernández Junquera, 2024Fernández Junquera, Á. (2024). Efectos de la asistencia en la búsqueda de empleo: una revisión sistemática para España. Gestión y Análisis de Políticas Públicas, (35), 7-25. https://doi.org/10.24965/gapp.11259).

In addition, the programme’s impact on employment outcomes varies meaningfully across certain individual characteristics. Stronger effects are observed for older participants, Spanish nationals, and those with shorter unemployment durations prior to enrolment. In contrasts, no statistically significant differences emerge by gender, educational attainment or training modality. These results suggest that while the programme is broadly effective, its benefits are not evenly distributed. The main benefits appear concentrated among participants with more favourable employment prospects, such as shorter previous unemployment spells. This finding stands in contrast to existing evidence suggesting that long-term unemployed individuals benefit most from activation programmes, particularly training-focused interventions (CardCard, D., Kluve, J. & Weber, A. (2018). What works? A meta analysis of recent active labor market program evaluations. Journal of the European Economic Association, 16(3), 894-931. https://doi.org/10.1093/jeea/jvx028 et al., 2018Card, D., Kluve, J. & Weber, A. (2018). What works? A meta analysis of recent active labor market program evaluations. Journal of the European Economic Association, 16(3), 894-931. https://doi.org/10.1093/jeea/jvx028; BlázquezBlázquez, M., Herrarte, A. & Sáez, F. (2019). Training and job search assistance programmes in Spain: The case of long-term unemployed. Journal of Policy Modeling, 41(2), 316-335. https://doi.org/10.1016/j.jpolmod.2019.03.004 et al., 2019Blázquez, M., Herrarte, A. & Sáez, F. (2019). Training and job search assistance programmes in Spain: The case of long-term unemployed. Journal of Policy Modeling, 41(2), 316-335. https://doi.org/10.1016/j.jpolmod.2019.03.004). On the other hand, our results are in line with those of AdánAdán González, R., Taberner, P. A., Plata, D., Monserrat, C., Sánchez Vidal, M. & Pi Ferrer, L. (2025). Treball i Formació (EELL, ESAL i ACOL) 2020-2022 [colección SOC-AVALUA n.º 51]. Generalitat de Catalunya. https://daleph.com/wp-content/uploads/2024/05/Informe_-Treball-i-formacio-CAT.pdf et al. (2025)Adán González, R., Taberner, P. A., Plata, D., Monserrat, C., Sánchez Vidal, M. & Pi Ferrer, L. (2025). Treball i Formació (EELL, ESAL i ACOL) 2020-2022 [colección SOC-AVALUA n.º 51]. Generalitat de Catalunya. https://daleph.com/wp-content/uploads/2024/05/Informe_-Treball-i-formacio-CAT.pdf, who evaluate another training and employment programme in Catalonia.

It is also noteworthy that the programme was particularly effective in fostering the labour market reintegration of older individuals. Audit studies have shown that older workers often struggle to advance during the application phase of job search (Quesada & Martínez de Lafuente, 2024Quesada, O. & Martínez de Lafuente, D. (2024). Too old to work? A field experiment on age discrimination in the Spanish labour market [working paper 2024/1]. ISEAK. https://iseak.eu/en/documents/too-old-to-work-a-field-experiment-on-age-discrimination-in-the-spanish-labor-market). One explanation for the more positive results for this age group in our setting could be that the public-private partnership mitigates this disadvantage for older workers thanks to a more direct connection between the unemployed and the potential employer. In addition, the meta-analysis by Orfao and Malo (2023)Orfao, G., & Malo, M. Á. (2023). Are active labour market policies effective for the older unemployed? A meta-evaluation. Ageing and Society, 43(7), 1617-1637. https://doi.org/10.1017/S0144686X21001288 shows that while direct job creation policies do not help older workers, training policies such as the one we study do.

The heterogeneity we find is also of great importance for policy design. Firstly, it highlights the importance of taking the characteristics of a policy’s target population into account when designing ALMP measures, as targeting measures more closely to the relevant population might increase policy effectiveness. In addition, it is also a warning against “one-size-fits-all” policy approaches and highlights the importance of continuously evaluating public policy measures.

While we believe that our empirical strategy is well-suited to the case at hand, it is important to point out that certain shortcomings do exist. Most notably, there was no experimental control group of “untreated” individuals, requiring us to construct a counterfactual based on the MCVL and a matching strategy. In addition, our matching procedure was subject to a relatively low number of covariates to match on and only has one single pre-treatment period. This also points towards designing future similar policy interventions already with the evaluation in mind. Such an evaluation-oriented programme design could manifest itself in collecting additional pre-treatment information over longer time periods, or, ideally, incorporating a randomized or staggered implementation.

5. CONCLUSION

This paper evaluates the effects of the “Employment in Local Industry” (POIL) programme implemented by the Barcelona Provincial Council. Using matched administrative microdata and a difference-in-differences design, we estimate the causal impact of participation on employment probabilities up to one year after programme completion. On average, participation increased the probability of being employed by 3.4 percentage points, with statistically significant effects emerging from between six and nine months after the intervention.

This suggests that the policy was effective in fostering re-employment chances when averaging across all participants. Importantly, the heterogeneity analyses show a non-uniform impact of the programme across participants. Stronger effects are concentrated among Spanish nationals, older individuals and those with shorter unemployment spells prior to enrolment. By contrast, we find no significant differences by gender, educational attainment or training modality. These heterogeneous effects are highly relevant for policy design, as they indicate that more targeted interventions —closer to personalised employment pathways adapted to participants’ profiles— may achieve higher effectiveness.

Finally, the results show that the cooperative form of public–private collaboration, rooted in local industrial ecosystems, appears to be a promising framework for designing activation policies that are both territorially embedded and responsive to labour market needs.

FUNDING

This study was funded by Diputació de Barcelona. The funder had no role in the design of the study, data analysis, interpretation of the results, or the writing of this manuscript. The authors have developed the study independently.

ACKNOWLEDGMENTS

We are grateful to the Labor Market Service of the Diputació de Barcelona, especially Cristina Pardo, Pilar Moret, and Elena Martínez. We also thank Mireia Álvarez and Lynn Van Raalte for their research assistance, and Javier and Ángel Martín Román for their helpful comments. We appreciate the feedback received from participants at the XXX Encuentros de Economía Pública, as well as from the two anonymous referees and the editor. All remaining errors are our own.

REFERENCES

Adán González, R., Taberner, P. A., Plata, D., Monserrat, C., Sánchez Vidal, M. & Pi Ferrer, L. (2025). Treball i Formació (EELL, ESAL i ACOL) 2020-2022 [colección SOC-AVALUA n.º 51]. Generalitat de Catalunya. https://daleph.com/wp-content/uploads/2024/05/Informe_-Treball-i-formacio-CAT.pdf

AIReF (2021). Políticas activas de empleo en Castilla y León. Autoridad Independiente de Responsabilidad Fiscal. https://www.airef.es/es/estudios/estudio-politicas-activas-empleo-castilla-y-leon/

AIReF (2023). Políticas activas de empleo en Extremadura. Autoridad Independiente de Responsabilidad Fiscal. https://www.airef.es/es/estudios/comunidades-autonomas/estudio-politicas-activas-de-empleo-en-extremadura/

Angrist, J. D. & Pischke, J.-S. (2009). Mostly Harmless Econometrics. Princeton University Press.

Arellano, F. A. (2010). Do training programmes get the unemployed back to work? A look at the Spanish experience. Revista de Economia Aplicada, 18(53), 39-65. http://revecap.com/revista/numeros/53/pdf/alfonso.pdf

Blázquez, M., Herrarte, A. & Sáez, F. (2019). Training and job search assistance programmes in Spain: The case of long-term unemployed. Journal of Policy Modeling, 41(2), 316-335. https://doi.org/10.1016/j.jpolmod.2019.03.004

Card, D., Kluve, J. & Weber, A. (2010). Active labour market policy evaluations: a meta-analysis. The Economic Journal, 120(548), 452-477. https://doi.org/10.1111/j.1468-0297.2010.02387.x

Card, D., Kluve, J. & Weber, A. (2018). What works? A meta analysis of recent active labor market program evaluations. Journal of the European Economic Association, 16(3), 894-931. https://doi.org/10.1093/jeea/jvx028

Catalá-Pérez, D. & Del Pino, E. (2018). Reformas de ida y vuelta en la gobernanza horizontal del bienestar: el caso de la colaboración público-privada en la intermediación laboral en la Comunidad Valenciana. Gestión y Análisis de Políticas Públicas, (19), 107-122. https://doi.org/10.24965/gapp.v0i19.10434

Cueto, B. & Mato, F. J. (2009). A nonexperimental evaluation of training programmes: Regional evidence for Spain. Annals of Regional Science, 43(2), 415-433. https://doi.org/10.1007/s00168-008-0214-2

De la Rica, S. (2015). Políticas activas de empleo: una panorámica [FEDEA Policy Papers 2015/01]. FEDEA. https://documentos.fedea.net/pubs/fpp/2015/01/FPP2015-01.pdf

De la Rica, S., Miller, L. & Úbeda, P. (2018). Evaluación del programa Lanzaderas de empleo y emprendimiento solidario-anezka [informe 2018/2]. ISEAK. https://iseak.eu/publicacion/evaluacion-del-programa-lanzaderas-de-empleo-y-emprendimiento-solidario%E2%80%90anezka

Fernández Junquera, Á. (2024). Efectos de la asistencia en la búsqueda de empleo: una revisión sistemática para España. Gestión y Análisis de Políticas Públicas, (35), 7-25. https://doi.org/10.24965/gapp.11259

Froy, F., Giguere, S. & Hofer, A. (2009). Designing Local Skills Strategies. OECD Publications. https://doi.org/10.1787/9789264066649-en

García Pérez, J. I. & Rebollo Sanz, Y. F. (2009). The use of permanent contracts across Spanish regions: Do regional wage subsidies work? Investigaciones Económicas, 33(1), 97-130. https://www.fundacionsepi.es/investigacion/revistas/paperArchive/Ene2009/v33i1a4.pdf

Hernández-Moreno, J. J. & Ramos Gallarín, J. A. (2017). La centralización de la gobernanza territorial en las políticas activas del mercado de trabajo en España durante la Gran Recesión (2011-2016). Gestión y Análisis de Políticas Públicas, (18), 5-22. https://doi.org/10.24965/gapp.v0i18.10433

Kluve, J. (2010). The effectiveness of European active labor market programs. Labour Economics, 17(6), 904-918. https://doi.org/10.1016/j.labeco.2010.02.004

Moreno, R., Ramos, R. & Suriñach, J. (2021). Programa Ubicat 2017-2019 (SOC-Avalua). Generalitat de Catalunya. https://serveiocupacio.gencat.cat/web/.content/01_SOC/09_Transparencia-i-bon-govern/Avaluacio-i-estudis/Avaluacio_UBICAT.pdf

Moreno, L. & Serrano Pascual, A. (2007). Europeización del bienestar y activación. Política y Sociedad, 44(2), 31-44. https://revistas.ucm.es/index.php/POSO/article/view/POSO0707230031A

Orfao, G., & Malo, M. Á. (2023). Are active labour market policies effective for the older unemployed? A meta-evaluation. Ageing and Society, 43(7), 1617-1637. https://doi.org/10.1017/S0144686X21001288

Quesada, O. & Martínez de Lafuente, D. (2024). Too old to work? A field experiment on age discrimination in the Spanish labour market [working paper 2024/1]. ISEAK. https://iseak.eu/en/documents/too-old-to-work-a-field-experiment-on-age-discrimination-in-the-spanish-labor-market

Ramos Lobo, R., Suriñach Caralt, J. & Artís Ortuño, M. (2009). La efectividad de las políticas activas de mercado de trabajo para luchar contra el paro. La experiencia de Cataluña [working papers IR09/19]. Universitat de Barcelona. Institut de Recerca en Economia Aplicada Regional i Pública. https://hdl.handle.net/2445/61477

Rebollo-Sanz, Y. F. & García Pérez, J. I. (2021). Evaluación de Impacto de Políticas Activas de Empleo para Colectivos de Difícil Inserción Laboral [policy papers 2021/11]. FEDEA. https://documentos.fedea.net/pubs/fpp/2021/11/FPP2021-11.pdf

Serrano-Pascual, A. & Crespo Suárez, E. (2007). The government of activation policies by EU institutions. International Journal of Sociology and Social Policy, 27(9-10), 376-386. https://doi.org/10.1108/01443330710822075

Serrano-Pascual, A. & Magnusson, L. (2007). Reshaping welfare states and activation regimes in Europe. Peter Lang.

WWG (2016). Evidence review 1: Employment Training. What Works Centre for Local Economic Growth. https://whatworksgrowth.org/wp-content/uploads/16-06-15_Employment_Training_Update-1.pdf


  1. 1 INE. Encuesta de Población Activa (2021).

  2. 2 For details see: https://www.diba.cat/documents/36150622/38126235/Promoure+l’ocupaci%C3%B3%20a+la+ind%C3%­BAs­tria­+local.pdf/138077f9-4981-4752-becb-162b15d30f61

  3. 3 See the following link for technical details of the MCVL https://www.seg-social.es/wps/portal/wss/internet/EstadisticasPresupuestosEstudios/Estadisticas/EST211/1429?changeLanguage=es

  4. 4 The Padrón Continuo is an administrative register that contains information (gender, age, nationality, and place of birth) on the population of each municipality.

  5. 5 For individuals from municipalities with more than 40,000 inhabitants, we look for a match in the same municipality. This is not possible for people from municipalities with less than 40,000 inhabitants. For them, we look for matches either in any of the large municipalities of their respective comarca or to anyone from the whole province not living in a municipality larger than 40,000 inhabitants.